13392693259
English
您的位置:首頁 > 新聞資訊 > 電熱板消解應用

聯系格丹納

廣州格丹納儀器有限公司

地址:廣州市南沙區大崗鎮智新一路8號聯東U谷廣州南沙國際企業港7棟5樓

產品咨詢:13392693259

耗材電話:18998328368

售后服務:020-87684117

傳 真:020-87684846

Email:info@gdana.com

網址:http://m.haluoha.cn/

土壤重金屬消解丨實驗電熱板試樣蒸干對結果的影響

2021.06.24

土壤消解的方法有很多,本文采用電熱板消解的方式,選用常用的HNO3+HF+HCIO4、開放式消煮法酸體系,對土壤進行消解,比較分析不同步驟中酸的蒸干對土壤中Cu、Pb、Cr、Fe、Mn5種重金屬元素含量測定的影響,擬為選擇電熱板加熱消解測定土壤樣品重金屬含量的方法提供參考。


實驗電熱板試樣蒸干對結果的影響


試驗方法和內容


樣品的采集與處理

實驗土樣均為同一樣點采集,登記編號后置于塑料薄膜,攤成約2cm厚的薄層,置于室內避光自然風干后,對每一份樣品采用四分法取樣進行磨碎處理,過100目(0.149mm)土壤篩,保存待消煮測定。


儀器

原子吸收光譜儀

HT-300實驗電熱板(格丹納)


HT-300實驗電熱板


HT-300實驗電熱板


格丹納HT-300實驗電熱板是用于實驗室樣品分析前處理中進行加熱、趕酸、消解用的儀器。主要采用玻璃陶瓷材質組成的熱臺面,具有不長銹、易清潔、耐酸堿的功能,遠程控制方式進行調節消解溫度、消解時間,整機經過人工精密的防腐工藝加工,使用壽命比常規電熱板長。



試劑

硝酸(HNO3)

氫氟酸(HF)

高氯酸(HCLO4)

鹽酸(HCL)均為優級純。

標準液: Cu(1.0000g/L)、 Pb( 1.0000g/L)、Cr( 1.0000g/L)、Fe(1.0000g/L)、Mn(1.0000g/L)并將其逐級稀釋至標準使用溶液備用。



試驗方法


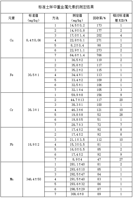
土壤樣品的分析采用HNO2—HF一HClO4開放式消煮法。準確稱取0.5000g土壤樣品于聚四氟乙烯坩堝中,加少量水潤濕后再加入20ml HNO3置于電熱板加熱至粘稠狀,加入20ml HF繼續加熱,為達到良好的飛硅效果,經常搖動坩堝,加入20ml的HClO3,并加熱至白煙冒盡,對于含有機質較多的土樣再加入適量HClO4,之后加蓋消解,土壤分解物呈白色或淡黃色,傾斜坩堝呈不流動的粘稠狀,用水沖洗內壁及坩堝蓋,溫熱溶解殘渣,冷卻后定容至50ml。8組樣品分別按照表中的方式進行消解,同時制作分析空白。



標準土樣消解結果比較


7種消解方法和標準土樣比較,結果表明Cu元素在采用5號方法時,測定含量的值偏低,采用其他方法測定結果均高于標準值,而在測定6、7號樣品時火焰原子吸收曲線變化幅度較大;Fe元素在7種方法測定下含量均高于標準值,但在測定7種樣品時,火焰原子吸收曲線變化幅度均較大;Cr元素采用方法1、方法2以及方法4時,測定含量的值偏高,采用方法3時,測定結果與標準方法一致,采用方法5、方法6以及方法7時,測定結果均低于標準值;Pb元素采用方法3時,測定結果高于標準值,采用其他6種方法時,測定結果均低于標準值,其中方法7測定結果低于標準值的50%;Mn元素采用的7種方法測定結果均低于標準值。相對于其他4種土壤重金屬含量的測定而言,Cr的消解效果較差,方法6回收率僅為51%。消解結束后溶液呈棕黃色,有灰黑色殘渣,消解不完全,這可能是由于土壤中存在大量的硅,一部分重金屬元素存在于礦物晶格中,且晶格比較穩定,只有氫氟酸才能破壞這類晶格,釋放出里面的元素,消解液無法將土樣中Cr徹底溶出,是造成回收率偏低的直接原因。



Cu元素、Fe元素7種方法重金屬回收率均達到90%,Cr元素在采用方法5、6、7時,Pb元素采用方法4、5、7時,Mn元素采用所有樣品蒸千時,回收率均低于90%,說明電熱板溫度控制不正確時土壤重金屬不易消解完全。


結論

不同類型的土壤中重金屬含量有較大差異,不同消解方法對重金屬含量分析的影響也有差異。7種消解方法對標準土樣Cu、Fe、Mn、Pb、Cr含量的測定值顯示,只有Fe、Mn含量的測定值在標準值范圍內,Cu含量在HClO4,蒸干的條件下測定值不在標準范圍內,Pb含量在HNO3,蒸干、HF蒸干HClO4,蒸干以及HNO3、HClO4,同時蒸干、HNO3、HF、HClO4,同時蒸干的條件下測定值不在標準范圍內,Cr含量在只有HClO4,蒸干的條件下測定值在標準值范圍內??偟膩碚f,HNO3+ HF+HClO4,體系的電熱板消解對土樣中的各種重金屬都有較理想的消解效果,但是,加酸量的多少以及電熱板溫度控制的準確性都影響土壤重金屬含量的測定。因此,在測定土壤中重金屬含量的時候應盡量事先多選用幾種方法做對比實驗,通過對結果的分析,從中選取適合該土壤類型的測定方法。


推薦產品